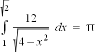
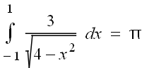
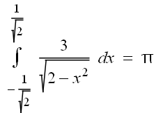
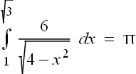
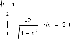
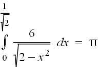
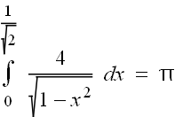
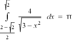
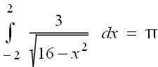
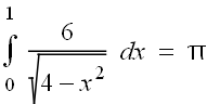
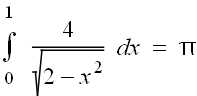
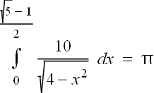
Équations sur Pi

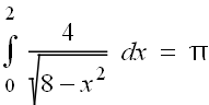
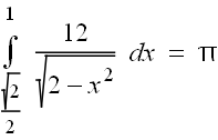
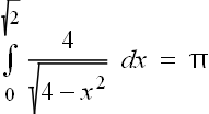
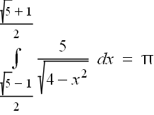
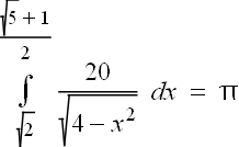
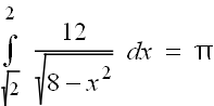
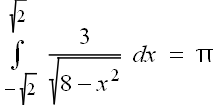
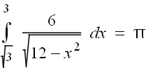
J'ai mis en évidence quelques équations sur Pi utilisant l'intégrale et le nombre d'or.
Copyright © 2026 Michel Béland