Particule et Annihilation

Énergie cinétique d'une particule.
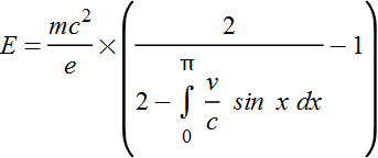
Énergie cinetique d'un pentaquark.
Copyright © 2026 Michel Béland
Énergie cinétique d`un pentaquark
Énergie cinétique d`un pentaquark