|
v/c |
Gain de masse |
|
|
0 |
1 |
|
|
0.1 |
1.1 |
|
| (1) |
0.2928 |
1.4142 |
(10) |
|
0.4 |
1.666 |
|
|
0.5 |
2 |
|
| (2) |
0.618 |
2.618 |
(11) |
| (3) |
0.7071 |
3.4142 |
(12) |
| (4) |
0.8284 |
5.8284 |
(13) |
| (5) |
0.8408 |
2π |
|
| (6) |
0.8938 |
3π |
|
| (7) |
0.9204 |
4π |
|
| (8) |
0.9363 |
5π |
|
| (9) |
0.9602 |
8π |
|
|
0.99 |
100 |
|
|
0.9999 |
10000 |
|
|
1 |
Infini |
|
Le Paradoxe de la Géometrie Quantique
| input |
output |
| |
1.618033989 |
-1.618033989 |
|
| |
0.618033989 |
2.618033989 |
|
| |
2.618033989 |
- 0.618033989 |
|
| |
-0.618033989 |
0.618033989 |
|
| |
-1.618033989 |
0.3819660113 |
|
| |
-2.618033989 |
0.2763932023 |
|
| |
0.3819660113 |
1.618033989 |
|
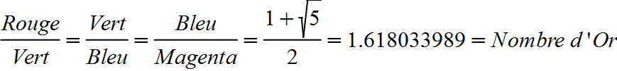
Le gain de masse d'un Pentaquark dépend de sa vitesse.
Le pentaquark était hypothétique jusqu'à la découverte de cette équation , cette équation nous démontre que le pentaquark est une réalité mathématique et physique qu'il a 15 gluons et 5 quarks.
| (1) |
|
| (2) |
|
| (3) |
|
| (4) |
|
| (5) |
|
| (6) |
|
| (7) |
|
| (8) |
|
| (9) |
|
Copyright © 2026 Michel Béland
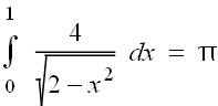
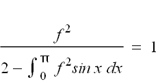
f est la vitesse de résonance d'un pentaquark.
À la vitesse de résonance l'impédance du pentaquark Zf est égale à l'impédance du vide Z0 = 376.7303135 Ω .
f × c0 = 244779516.9 m/s